Quick Conclusion: S009 is an early but rigorous validation (EMBC 2016) of using commodity smartphones for SCG. It laid the groundwork for OpenSCG by proving that the internal sensors of a modern phone are sensitive enough to match the temporal precision of a professional ECG, provided the phone is positioned correctly.
📊 Key Accuracy Metrics
| Metric | Result |
|---|---|
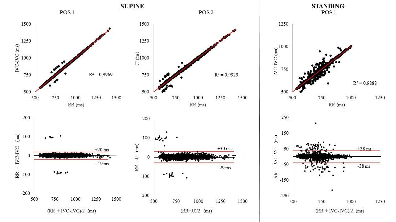
| Accuracy (Supine) | > 98% |
| Linear Correlation (r2) | > 0.98 |
| Feasibility (POS1 Thorax) | 100% in Supine, 78% in Standing |
| Limits of Agreement | ±20 ms (Supine Thorax) |
🔍 Study Analysis
Objective & Population
Technical Feasibility & Validation Study. Cohort: 9 healthy male volunteers (Age 25 ± 2) (N=9).
What it Supports
The study supports the use of standard smartphone accelerometers (specifically iPhone 6) to measure heart rate with 98%+ accuracy. It identifies the thorax (cardiac apex) as the optimal position for the phone to maximize signal-to-noise ratio and feasibility.
What it Does Not Support
The study does not provide evidence for reliable monitoring in non-resting states or in subjects with cardiac pathologies. It also shows that the navel position and standing posture are less reliable than the thoracic supine position.
🛠 Technical Context
- DOI: 10.1109/EMBC.2016.7591463
- Authors: Federica Landreani et al.
- Confidence Tier: Supporting
