A multi-point heart rate monitoring using a soft wearable system based on fiber optic technology
Executive Summary
This study introduces a novel soft wearable system (SWS) based on fiber Bragg grating (FBG) technology for multi-point heart rate monitoring via seismocardiography (SCG). The system demonstrated improved accuracy in heart rate estimation through a multi-sensor configuration and identified optimal sensor positioning on the chest. Feasibility testing on healthy volunteers showed promising results, with the lowest mean absolute error (MAE) achieved at Position 1 (closer to the heart apex). The findings suggest potential applications in clinical settings, such as cardiac MRI, and everyday monitoring scenarios.
Answer Machine Insights
Q: What is the main advantage of the multi-sensor configuration?
The multi-sensor configuration improves heart rate measurement accuracy by combining outputs from multiple sensors.
These results demonstrate that the multi-sensor approach obtained by summing the outputs of multiple sensors improves the SWS performance in HR estimation.
Q: Which sensor position yielded the best performance?
Position 1, located horizontally from the xiphoid process to the heart apex, yielded the best performance.
The best performance is reached when the SWS is placed closer to the heart from the xiphoid process to the heart apex (i.e., Position 1).
Key Results
Mean absolute error (MAE) for heart rate estimation was lowest at Position 1: 0.81 bpm using multi-sensor configuration.
Multi-sensor configuration improved accuracy compared to single-sensor setups across all positions.
Visual Evidence

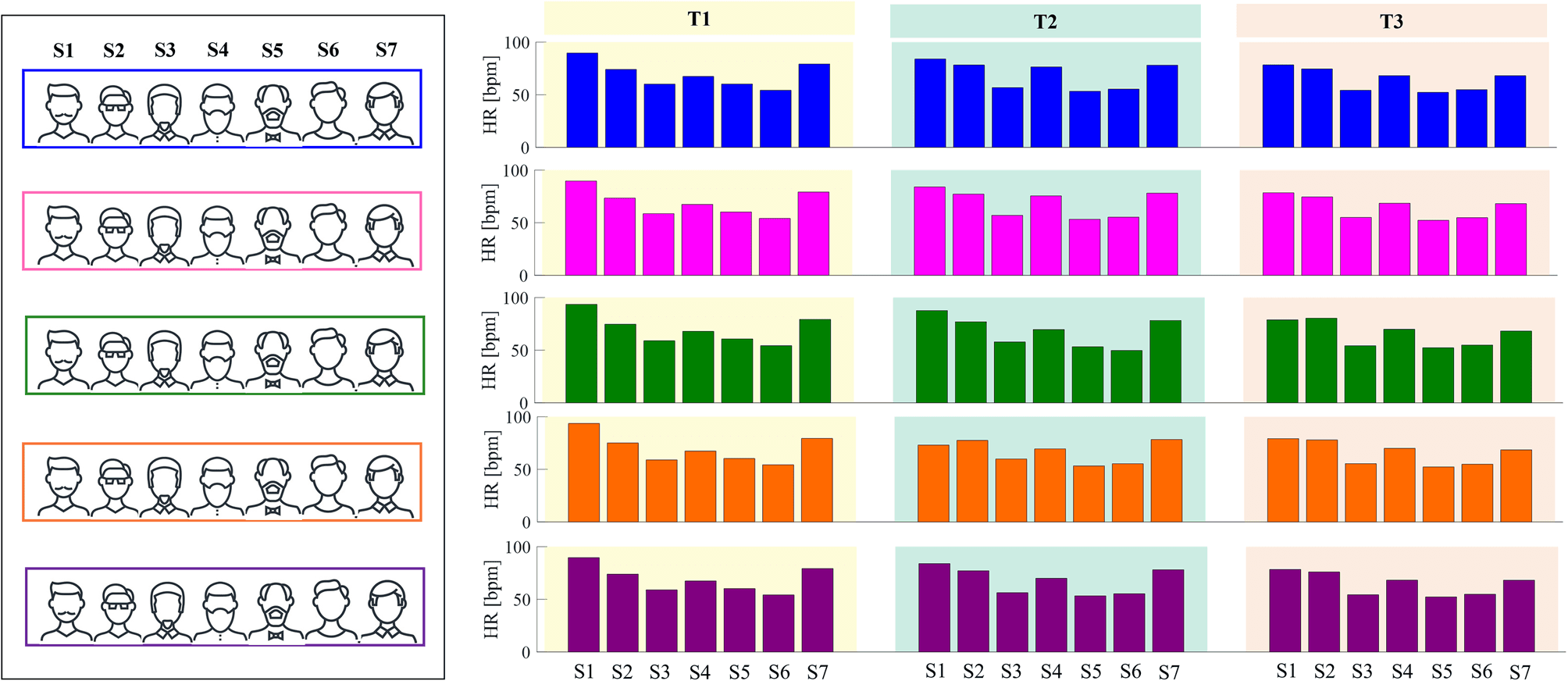
Figure 7. Schematic of the approach used to group the HR data considering a single position.
Clinical Snapshot
Evidence Rating
Relevance
high Priority